Fisheries and Aquatic Sciences
The Korean Society of Fisheries and Aquatic Science
RESEARCH ARTICLE

Assessing some biological aspects and the stock status of the giant catfish (Netuma thalassina Ruppel, 1837) in Gunungkidul waters

Tirtadanu1,*https://orcid.org/0000-0003-1572-9462, Andina Ramadhani Putri Pane1https://orcid.org/0000-0002-1329-973X, Duranta D. Kembaren1https://orcid.org/0000-0001-8543-6206, Heri Widiyastuti1https://orcid.org/0000-0001-5393-9634, Moh Fauzi1https://orcid.org/0000-0002-8961-0395, Thomas Hidayat1https://orcid.org/0009-0007-6232-5088, Siti Mardlijah1https://orcid.org/0000-0002-3288-669X, Dian Pamularsih Anggraeni1https://orcid.org/0000-0002-9832-4083
1National Research and Innovation Agency (BRIN), Cibinong 16912, Indonesia
*Corresponding author: Tirtadanu, National Research and Innovation Agency (BRIN), Cibinong 16912, Indonesia, Tel: +62-81119333632, E-mail:tirt004@brin.go.id

Copyright © 2025 The Korean Society of Fisheries and Aquatic Science. This is an Open Access article distributed under the terms of the Creative Commons Attribution Non-Commercial License (http://creativecommons.org/licenses/by-nc/4.0/) which permits unrestricted non-commercial use, distribution, and reproduction in any medium, provided the original work is properly cited.

Received: Mar 23, 2025; Revised: May 14, 2025; Accepted: Jun 05, 2025

Published Online: Dec 31, 2025

Abstract

The giant catfish (Netuma thalassina Ruppell, 1837) fishery in Gunungkidul waters has contributed economically to the local community, and the fishery has intensified since the lobster fishery population has declined. However, there is no information on the biological characteristics and stock status of N. thalassina to inform management strategies. This study aimed to assess various biological characteristics and to determine the stock status of N. thalassina in Gunungkidul waters. Biological data and stock status of N. thalassina were collected from March to December 2023. The results revealed that the majority of the giant catfish caught by bottom longline (63% of the catch) were fish below the length at first maturity. This condition can also be evidenced by the length at first capture (Lc50 = 29 cm), which is smaller than the length at first maturity (Lm50 = 37 cm). The length of N. thalassina captured by bottom longline in Gunungkidul waters ranged from 18 to 60 cm, with a mean of 35.44 ± 7.49 cm (± SD). The catfish’s body weight is optimal, indicated by the relative condition factor (Kn) 1.00 and the coefficient of b 3.15. The diet of N. thalassina consists of crabs, stomatopods, shrimps, and fishes, indicating carnivorous feeding habits. Crabs are the dominant prey item, with a preponderance index of 60%. Fecundity was relatively low, with an average of 26 ± 4 eggs (± SD). The as-ymptotic length (L) and growth rate (K) were 61.3 cm and 0.22 year–1, respectively. The fishery status of N. thalassina is currently fully-exploited, based on three stock assessment methodologies: length-converted catch curve, yield per recruit, and spawning potential ratio analysis. The current fishing mortality of N. thalassina (Fcur = 0.42 year–1) exceeds the target reference point of F40% (0.28 year–1), indicating recruitment overfishing conditions. Hence, management measures should prioritize protecting immature fish by preventing the capture of individuals under 37 cm to enhance reproductive output.

Keywords: Bottom longline; Fecundity; Growth; Stomach content; Spawning potential ratio

Introduction

The Gunungkidul waters serve as a habitat for various commercial fish species and have contributed significantly to the economic growth of the local community, particularly for the 2,276 local fishers. The monthly local income for each fisher was about 150 to 300 USD, and most fishers earned only from fishing (Tirtadanu et al., 2024a). One of the commercial fish species in Gunungkidul waters is the giant catfish (Netuma thalassina), with production reaching 127 tons in 2023, with an estimated economic value of 121,275 USD (MMAF, 2024).

The giant catfish fishery has grown intensively as lobster production in Gunungkidul waters declines due to over-exploitation (Tirtadanu et al., 2022). The transition from lobster traps to other fishing gears, such as bottom longline and surface gillnet, is linked to the decline of the lobster stocks. Lobster production fell from 63 tons in 2019 to 20 tons in 2023. In contrast, marine catfish production has increased from 13 tonnes in 2019 to 420 tonnes in 2023 (MMAF, 2024). Despite the higher price of lobster than marine catfish, the bottom longline fishery targeting marine catfish has greater profitability than the bottom traps fishery targeting lobster (Tirtadanu et al., 2024a). Increased fishing efforts without proper management may result in population decline and significant economic losses. Moreover, the giant catfish fishery in Gunungkidul waters has contributed economically to a marketing chain that includes intermediaries, traders, restaurants, and processing industries; thus, the risk of population decline will adversely affect various fisheries businesses (Sarwanto et al., 2014). Therefore, the biological aspects and stock status of N. thalassina must be investigated as a basis for developing sustainable management measures for catfish fisheries.

Studies on the giant catfish fishery in Indonesia are still limited. Prior studies have reported that N. thalassina in the northern waters of Java shows carnivorous traits, prey on other fish, and it has a negative allometry growth pattern with the coefficient of b as 2.79 (Marbun et al., 2017; Taunay et al., 2013). N. thalassina has been found in the waters of the Arafura Sea, where the highest density in brackish environments characterized by shallow depths (Tirtadanu et al., 2024b). The reproductive and growth aspects of N. thalassina remain unexplored in Indonesia. The overexploited condition of catfish fisheries has been examined in Banyuasin waters through a production and effort approach (Fauziyah et al., 2020). Assessing stock status should incorporate the biological and life history of the target species to gain insights into its vulnerability to fishing pressure.

The stock assessment method applying production and effort data in Gunungkidul waters is difficult due to the lack of capacity to continuously record various fishing efforts and the risk of unreported production data linked to the dispersed landing sites of fishers in Gunungkidul. A length-based stock assessment is one of the methods that can be applied to the catfish fishery in Gunungkidul waters. This study investigated various biological aspects of N. thalassina, including fecundity, stomach contents, selectivity, length at first maturity, length-weight relationship, and growth. The stock status was determined by using multiple methods, including length-converted catch curve (LCC), yield per recruit (YPR), and spawning potential ratio (SPR) analysis (Hordyk et al., 2016; Sparre & Venema, 1992; Thompson & Bell, 1934). The uncertainty on the stock assessment was determined according to various natural mortality approaches. This study provides the first comprehensive assessment of biological characteristics and stock status of N. thalassina in the Gunungkidul waters, Indonesia. This study investigated the biological characteristics and stock status of the N. thalassina fishery as a basis for developing sustainable management strategies for the catfish fishery.

Materials and Methods

Data collection

Data were collected from March to October 2023 in Baron landing site, with the coordinate of –8.12877°S and 110.54874°E. The catfish samples were collected from the catch of longline fishery operating in the southern waters of Gunungkidul, Baron Beach, and nearby coastal areas (Fig. 1). Salinity in the sampling area ranged from 21‰ to 26‰. The longline fishery was characterized by the one day fishing trip, using vessels with the sizes of 3 GT. The mean catch for the catfish by bottom longline was about 25 kg–1 vessel trip–1. The vessel was motorized with 15 hp (horsepower), and the fishing ground was less than 12 miles from the landing area. Each vessel deployed approximately 800 hooks per set. Bottom longlines were typically set in the afternoon and hauled at night, with a soak time of approximately 4 hours. Fishers typically made 18 to 25 fishing trips per month. A total of 516 catfish were sampled. Biological data collected from each specimen included length (cm), weight (g), sex, gonad maturity stage (using a defined scale), stomach contents (analyzed for prey composition), and fecundity (for mature females).

fas-28-12-787-g1
Fig. 1. Fishing ground of bottom longline targeted giant catfish (Netuma thalassina) in Gunungkidul waters. Using WGS84 and Google Earth database.
Download Original Figure
Data analysis

Biological characteristics of N. thalassina included size distribution, length at first capture (Lc50), length at first maturity (Lm50), stomach contents, fecundity, growth, and mortality parameters. Stock status was explored using the LCC approach, YPR analysis, and SPR.

Length-frequency data were grouped into 2 cm intervals and presented as a histogram to visualize the size structure of the population. Length at first capture and length at first maturity were estimated using a logistic regression (Sparre & Venema, 1992). The length-weight relationship was estimated using the power function (Ricker, 1975):

W=aL b

where a is a constant, b is the growth coefficient, L is fork length (cm), and W is the observed weight (g). The growth coefficient of b was calculated using a 95% confidence interval, representing the range within which the true value is likely to fall with 95% probability.

The relative condition factor (Kn) was estimated based on le Cren (1951):

K n = W W

where Kn is is the relative condition factor, W is the observed weight and W’ is the calculated weight.

Stomach contents were analyzed using the Index of Preponderance (IP) (Natarajan & Jhingran, 1961) to determine the relative importance of different prey items in the diet.

I P i = W i O i W i O i × 100

where IPi is an index of preponderance, Wi represents the contribution of each prey item to the total weight of stomach contents, while Oi reflects the frequency with which each prey item was observed in the stomachs examined.

Fecundity was determined by direct counts of oocytes from the ovaries of mature female catfish to estimate the reproductive potential of the species. A non-parametric LOESS smoother was used to describe the relationship between fecundity, length, and weight, allowing for visualization of the trend without assuming a specific functional form.

The growth parameters, including asymptotic length (L) and growth rate (K), were estimated using the electronic length frequency analysis with simulated annealing (ELEFAN SA) method within the TropFishR package (version 1.6.4) of the R program (R version 4.4.0) (Mildenberger et al., 2017; R Core Team, 2008; Xiang et al., 2013). A moving average value of 7 was performed to smooth the length frequency data and identify the fish growth over time. The theoretical age at which the fish attains a length of zero (t0) was calculated using equation (Pauly, 1983):

Log(-t 0 )=(-0 .3922)-0 .2752 Log(L )-1 .038 log ( K )

The asymptotic weight (W) was estimated from the cubic equation in the length weight relationship (Ricker, 1975):

W = a ( L ) b

where W is the asymptotic weight (g), L is asymptotic length (cm), a is the constant and b is the coefficient growth.

The maximum age (tmax) was measured by the equation (Alagaraja, 1984):

t max = ( - 1 K ) l n ( 1- 0 .95 L L )

where tmax is the maximum age (years), K is the growth rate (year–1), and L is asymptotic length (cm).

Natural mortality (M) was estimated using multiple empirical models to account for uncertainty in the stock assessment, as M is a critical parameter that is difficult to estimate directly. The five empirical natural mortality methods were selected based on the suitability of the available data and the life history characteristics of the species. The estimation of natural mortality was assessed using the following equation:

M 1 = 3 K e K ( 0.38 t max ) 1
M 2 = l n ( 0.01 ) t max
M 3 = 1.5 ( K )
M 4 = β K e K ( C i t max t 0 ) 1
M 5 =4 .188 K 0 .73 L -0 .33

M1, M2, M3, M4 and M5 represent the natural mortality (year–1) estimates derived from the methodologies of Alagaraja (1984), Alverson & Carney (1975), Jensen (1997), Then et al. (2015), and Zhang & Megrey (2006), respectively. tmax represents the maximum age (year–1), K denotes the growth rate (year–1), β indicates the coefficient growth derived from the length-weight relationship, Ci is a constant valued at 0.44 that corresponds to demersal fish, t0 refers to the theoretical age at which N. thalassina has zero length (year), and L is the asymptotic length (cm).

Total mortality (Z) was estimated using the LCC method as described by Sparre & Venema (1992). Fishing mortality (F) was estimated as the difference between Z and natural mortality (M): F = Z – M. This assumes that total mortality is solely due to natural mortality and fishing mortality. The exploitation rate was calculated using the ratio of fishing mortality to total mortality (Gulland, 1983).

Length-based YPR analyses were performed by the Thompson and Bell model through the TropFishR package in the R program (Mildenberger et al., 2017; R Core Team, 2008; Thompson & Bell, 1934). The fishing mortality corresponding to the maximum YPR (Fmax) was applied as the limit reference point (LRP), while the fishing mortality that produced a YPR of 10% of the initial biomass (F0.1) was designated as the target reference point in the YPR analysis (King, 1995).

The SPR was calculated using the ratio of spawning stock biomass per recruit in both exploited and unfished stocks (Goodyear, 1993; Hordyk et al., 2016). The SPR is determined by several input parameters: asymptotic length (L), growth rate (K), lengths at first captured (Lc50), length at 95% capture probability (Lc95%), length at first maturity (Lm50), length at 95% maturity (Lm95), natural mortality (M), and current fishing mortality (F). The SPR was illustrated as a function of fishing mortality (F) by using variation of natural mortality to account for uncertainty. Each value from the five natural mortality methods was used as an input parameter to understand the sensitivity of the SPR. The biological reference points utilized in the SPR analysis included fishing mortality corresponding to 20% SPR as the LRP and 40% SPR as the target reference point. A SPR less than 20% indicates a very low percentage of the spawners in nature, potentially disrupting recruitment (Gabriel & Mace, 1999). Moreover, N. thalassina inhabit a limited environment and have a low fecundity; the low proportion of spawners will lead to population loss (Parab, 1998; Tirtadanu et al., 2024b). As a conservative metric for population sustainability, the expected SPR is 40% (Clark, 2002). This justifies using 20% SPR as the LRP and 40% SPR as the target reference point.

Results

Length frequency, length at maturity and length at first capture

A total of 516 catfish’s length data were collected during March to December 2023. The length of N. thalassina captured by bottom longline in Gunungkidul waters ranged from 18 to 60 cm (Fig. 2). The average length was 35.44 ± 7.49 cm (± SD). The modal size of the catch was 38 cm. The length at first capture (Lc50 = 29 cm) was smaller than the length at first maturity of N. thalassina (Lm50 = 37 cm), indicating that the majority of the fish were captured before reaching gonadal maturity. Approximately 63% of the fish caught were below the length at first maturity, indicating a high proportion of immature individuals in the catch.

fas-28-12-787-g2
Fig. 2. Length frequency, length at first captured (Lc50) and length at first maturity (Lm50) of giant catfish (Netuma thalassina) in Gunungkidul waters (total sample of 516, collected from March to December 2023).
Download Original Figure
Length-weight relationship and relative condition factor

The weight of N. thalassina ranged from 96 to 3,980 g, with a mean weight of 808 ± 555 g (± SD). The length of N. thalassina ranged from 19 to 60 cm, with a mean length of 35.44 ± 7.49 cm. The findings indicated that the length-weight relationship followed the equation W = 0.09 (L)3.1543 (Fig. 3). According to the 95% confidence interval of b, the growth coefficient ranged from 3.07 to 3.24, indicating that the growth pattern of N. thalassina has a positive allometric pattern. The relative condition factor (Kn) of N. thalassina was 1.00 ± 0.09 (Mean ± SD), indicating that the catfish’s body weight is optimal. According to the length-weight equation, the length at first maturity (Lm50 = 37 cm) corresponded to a weight of 818 g, whereas the length at first capture (Lc50 = 29 cm) corresponded to a weight of 379 g.

fas-28-12-787-g3
Fig. 3. Length-weight relationship of giant catfish (Netuma thalassina) in Gunungkidul waters.
Download Original Figure
Stomach contents

The stomach contents of N. thalassina in Gunungkidul waters consisted of crabs, stomatopods, shrimps, and fish (Table 1). Among the 21 stomach samples of N. thalassina, crabs had the highest occurrence percentage at 57%, followed by stomatopods at 33%. The highest and second highest percentages of food weight and index of preponderance in the stomach contents of N. thalassina were found in crabs and stomatopods. The index of preponderance for crabs was 60.11%, while for stomatopods, it was 29.96%. The index of preponderance of shrimps and fishes was below 10%.

Table 1. Stomach content analysis of giant catfish (Netuma thalassina) in Gunungkidul waters
Food items Ni (ind.) Wi (g) % Occurance (Oi) % Weight of food (Wi) OiWi IPi (%)
Crabs 12 55 57.14 36.18 2,067.67 60.11
Stomatopod 7 47 33.33 30.92 1,030.70 29.96
Shrimps 3 9 14.29 5.92 84.59 2.46
Fishes 2 41 9.52 26.97 256.89 7.47

Ni, number of individuals of each prey; Oi, percentage of occurrence; Wi, percentage of weight; IPi, index of preponderance.

Download Excel Table
Fecundity

Fecundity observations of female N. thalassina indicated a low fecundity. The number of eggs ranged from 20 to 32, with an average of 26 ± 4 eggs (± SD) (Fig. 4). The findings indicated an absence of a linear correlation between fecundity and the length and weight of N. thalassina. The peak fecundity was observed at a length of 44 cm and a weight of 1.359 g.

fas-28-12-787-g4
Fig. 4. The fecundity based on the length (A) and weight (B) of the giant catfish (Netuma thalassina) in Gunungkidul waters.
Download Original Figure
Growth

The output from TropFish R, based on the monthly length frequency data, indicated that the asymptotic length (L) of N. thalassina was 61.30 cm, with a growth rate (K) of 0.22 year–1 and a relative fitness score (Rn) of 0.57 (Fig. 5). The theoretical age of N. thalassina at length 0 (t0) was –0.63. Therefore, the Von Bertalanffy equation for N. thalassina in Gunungkidul waters was represented as:

fas-28-12-787-g5
Fig. 5. The monthly length frequency and the growth of the giant catfish (Netuma thalassina) in Gunungkidul waters. Data from TropFishR.
Download Original Figure
L t = 61.3 [ 1 e 0.22 ( t + 0.63 ) ] .

The asymptotic length (L) of N. thalassina was 61.30 cm, corresponding to an asymptotic weight (W) of 4,019 g. The maximum age (tmax) of N. thalassina was 13 years. The length at first maturity (Lm50) of 37 cm was attained at 3 years of age (Fig. 6). The length at first capture (Lc50) was approximately 2 years and 4 months of age.

fas-28-12-787-g6
Fig. 6. The Von Bertalanffy growth curve for giant catfish (Netuma thalassina) in Gunungkidul waters.
Download Original Figure
Mortality parameters

The total mortality rate of N. thalassina in Gunungkidul waters was 0.77 year–1 (Fig. 7). The average natural mortality of N. thalassina, varied from five natural mortality approaches, was 0.35 ± 0.09, which corresponds to a fishing mortality of 0.42 ± 0.09 (± SD) (Table 2). The exploitation rates of N. thalassina ranged from 0.39 and 0.70. The natural mortality estimation from Then et al. (2015) (MTh = 0.47 year–1) led to the lowest exploitation rate of 0.39, whereas the natural mortality from Zhang & Megrey (2006) (MZM = 0.23) produced the highest exploitation rate of 0.70. The average current exploitation rate was 0.55 ± 0.11, indicating that the current status of giant catfish fishery is in the fully exploited condition.

Table 2. The total mortality (Z), natural mortality (M), fishing mortality (F) and exploitation rate (E) for giant catfish (Netuma thalassina) in Gunungkidul waters
Methods of M Z (year–1) M (year–1) F (year–1) E (year–1)
Alverson & Carney (1975) 0.77 0.34 0.43 0.56
Alagaraja (1984) 0.77 0.35 0.42 0.55
Jensen (1997) 0.77 0.33 0.44 0.57
Zhang & Megrey (2006) 0.77 0.23 0.54 0.70
Then et al. (2015) 0.77 0.47 0.30 0.39
Mean ± SD 0.77 0.35 ± 0.09 0.42 ± 0.09 0.55 ± 0.11
Download Excel Table
fas-28-12-787-g7
Fig. 7. The length-converted catch curve for giant catfish (Netuma thalassina) in Gunungkidul waters.
Download Original Figure
Yield per recruit analysis

By applying the average fishing mortality rate of 0.42 year–1, the current YPR of N. thalassina (YPRcur) is 259.85 g recruit–1 (Fig. 8). The YPR (YPRmax) will attain a peak of 268.63 g recruit–1 if fishing mortality rises to a maximum fishing mortality (Fmax) of 0.64 year–1. However, the current fishing mortality (Fcur) has exceeded 26% of the reference point F0.1. Reference point F0.1 was 0.31 year–1, yielding 247 grams recruit–1. The current fishing mortality lies between the LRP Fmax and the target reference point F0.1, indicating a fully exploited condition.

fas-28-12-787-g8
Fig. 8. The isopleth of the yield per recruit analysis as a function of fishing mortality (F) and the length at first capture (Lc50) for giant catfish (Netuma thalassina) in Gunungkidul waters. The square dot is the fishing mortality that gives the maximum yield per recruit (Fmax), the circle dot is the current fishing mortality (Fcur) and the triangle dot is the fishing mortality at which the slope of yield per recruit is equal to 10% of the initial biomass (F0.1).
Download Original Figure
Spawning potential ratio

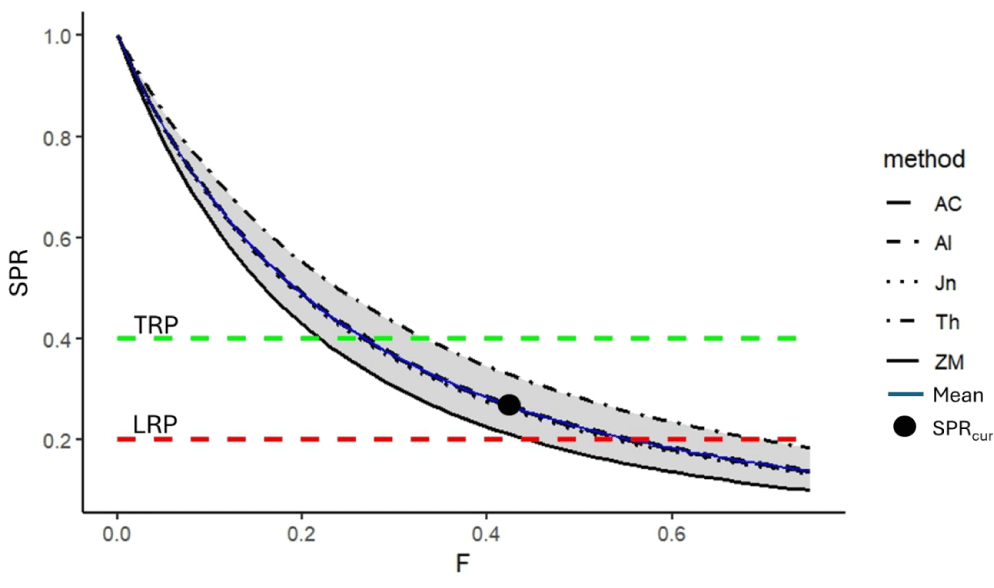
By using variations of the four natural mortality methods, the SPR of N. thalassina in Gunungkidul waters ranged from 0.22 to 0.34 (Table 3). The low natural mortality value from Zhang & Megrey (2006) (M = 0.23) implies a low SPR estimate of 0.22. In contrast, the largest estimate of SPR of 0.34 was obtained using the largest estimate of natural mortality from Then et al. (2015). However, the variation of the SPR, with an average of 0.28 ± 0.05, is within the range of the LRP of 20% SPR and the target reference point of 40% SPR, indicating that the spawning stock biomass is in the precautionary condition (Fig. 9). Fishing mortality resulting in a 40% SPR (F40%) is 33% less than current fishing mortality, so a 33% reduction in fishing effort would shift the status to the sustainable condition.

Table 3. Spawning potential ratio (SPR) and some biological reference ponts for giant catfish (Netuma thalassina) in Gunungkidul waters
M Methods Input Outputs
L (cm) K (year–1) M (year–1) Lm50 (cm) Lm95 (cm) SPRcur Fcur (year–1) F20% (year–1) F40% (year–1)
AC 61.3 0.22 0.34 37 41 0.26 0.43 0.55 0.26
Al 61.3 0.22 0.35 37 41 0.27 0.42 0.57 0.28
Jn 61.3 0.22 0.33 37 41 0.25 0.44 0.54 0.26
ZM 61.3 0.22 0.23 37 41 0.16 0.54 0.44 0.22
Th 61.3 0.22 0.47 37 41 0.43 0.30 0.69 0.34
Mean ± SD 61.3 0.22 0.35 ± 0.09 37 41 0.28 ± 0.11 0.42 ± 0.09 0.56 ± 0.10 0.28 ± 0.05

AC, Al, Jn, ZM and Th as the natural mortality (M) by Alverson & Carney (1975), Alagaraja (1984), Jensen (1997), Then et al. (2015), Zhang & Megrey (2006).

Fcur, current fishing mortality; F20% and F40%, fishing mortality that remained 20% and 40% SPR.

Download Excel Table
fas-28-12-787-g9
Fig. 9. Spawning potential ratio (SPR) as a function of fishing mortality (F) for giant catfish (Netuma thalassina) in Gunungkidul waters. Some variations on the natural mortality from: Al, Alagaraja (1984); AC, Alverson & Carney (1975); Jn, Jensen (1997); Th, Then et al. (2015); ZM, Zhang & Megrey (2006) was performed to visualised the uncertainty of the SPRs. The LRP is the limit reference point as 20% SPR and TRP is the target reference point as 40% SPR.
Download Original Figure

Discussion

Most N. thalassina captured in Gunungkidul waters were small or below the length at first maturity (< Lm50). The study indicated that 63% of the fish population consisted of small fish (< Lm50). N. thalassina captured by bottom longlines in Gunungkidul waters ranged from 18 to 60 cm, close to those from the Oman Sea, which ranged from 17 to 64 cm. However, N. thalassina in the current study were smaller than those of N. thalassina caught by gillnet in Vietnamese waters, which ranged from 51 to 106 cm (Nguyen, 2024; Vahabnezhad et al., 2021). This condition may be affected by the dominant capture of small-sized fish that cannot reach their maximum size. The length at first capture of N. thalassina by the bottom longline (Lc50 = 29 cm) was smaller than the length at first maturity (Lm50 = 37 cm), indicating that the fishery is catching fish before they have had a chance to reproduce, which can have negative consequences for the population. This condition causes a low percentage of spawners in nature, which will lead to population loss. Consequently, it is essential to prevent capturing small fish to facilitate their growth and reproduction. Previous studies indicated that the minimum legal size corresponds to the length at first maturity (Tirtadanu et al., 2023; Widiyastuti & Tirtadanu, 2024). Raising the length at first capture from 29 cm to 37 cm may serve as a management option to conserve N. thalassina in Gunungkidul waters. The government can support this initiative by replacing small hook sizes with larger sizes.

The growth pattern of N. thalassina in Gunungkidul waters showed positive allometry, characterized by a growth coefficient b of 3.15, which indicated a relatively fat body condition. Moreover, the catfish’s body weight condition is good, with the relative condition factor (Kn) of 1.00. A similar condition of growth pattern was observed in the waters of Kuwait, Cilacap-Indonesia and Bangladesh whereas a negative allometric pattern was found for N. thalassina in the Vietnam, Pekalongan-Indonesia and Pakistan waters (Table 4). The results indicated that the habitat of Gunungkidul waters remains suitable for the growth of N. thalassina, with sufficient food resources.

Table 4. Length weight relationship of marine catfish in some areas
Species Length-weight relationship Areas Source
a b
Netuma bilineata 0.0051 3.16 Kuwaiti Waters Al-Husaini et al. (2021)
Netuma thalassina 0.032 2.76 Vietnam Nguyen (2024)
Netuma thalassina 0.0158 3.05 Cilacap Waters Anggawangsa & Faizah (2020)
Netuma thalassina 0.00003 2.79 Pekalongan Waters Marbun et al. (2017)
Netuma thalassina 0.011 2.89 Arabian Coast, Pakistan Farooq et al. (2017)
Netuma thalassina 0.004 3.29 Bay of Bengal, Bangladesh Sultana et al. (2019)
Netuma thalassina 0.0092 3.15 Gunungkidul waters, Indonesia Present study
Download Excel Table

This study revealed that N. thalassina is a carnivore, consuming various food types such as crabs, stomatopods, shrimps, and fish. The primary diet of N. thalassina in Gunungkidul waters consists of crabs and stomatopods (mantis shrimps), with a preponderance index proportion of 60.11% and 29.96%, respectively. The primary food source is significantly affected by food availability within its habitat. The predominant components of the stomach contents of N. thalassina in Omani waters were bivalves and gastropods, whereas in Semarang waters, the primary dietary component was fish (Taunay et al., 2013; Vahabnezhad et al., 2021). The optimal fatness condition of N. thalassina in Gunungkidul waters indicates abundant preys, such as a population of crabs and stomatopods in the benthic zone of this region.

N. thalassina in Gunungkidul waters has low fecundity, ranging from 20 to 32 eggs. Parab (1998) reported low fecundity of N. thalassina in Indian waters, with a fecundity range of 34 to 88 eggs. The fecundity of N. thalassina is significantly lower than that of other demersal fisheries commodities, such as Nemipterus spp. and Saurida spp., which can produce from hundreds to thousands of eggs (İşmen, 2003; Rahman & Samat, 2021). Moreover, N. thalassina in Gunungkidul waters has a slow growth rate, with a K value of 0.22 year–1 and a maximum lifespan of 13 years. Al-Husaini et al. (2021) reported a slightly faster growth rate of 0.30 year–1 for N. thalassina in Kuwaiti waters. The lowest growth rate value of N. thalassina was found in India, with K value as 0.20 (Table 5). The low fecundity and relatively small growth rate indicated that N. thalassina is susceptible to population decline due to overfishing. N. thalassina populations must be allowed to grow and reproduce to enhance recruitment levels. N. thalassina reached gonad maturity at 3 years, with a maximum lifespan of 13 years, indicating a relatively long reproductive period if smaller individuals were not harvested. Management practices prioritizing a landing size greater than 37 cm are strongly recommended to ensure the sustainability of N. thalassina in the waters of Gunungkidul.

Table 5. Asymptotic length (L), growth rate (K) and natural mortality (M) of marine catfish in some areas
Species L (cm) K (year–1) M (year–1) Areas Sources
Netuma bilineata 46.5a 0.35 - Kuwaiti waters Al-Husaini et al. (2021)
Netuma thalassina 91.6a 0.30 - Kuwaiti waters Al-Husaini et al. (2021)
Netuma thalassina 97.6a 0.33 0.62 Bengal Coast, Bangladesh Sultana et al. (2019)
Netuma thalassina 84.8a 0.20 - Mandapam Waters, India Menon (1986)
Netuma thalassina 68.0a 0.45 0.84 Brunei Darussalam Silvestre & Garces (2004)
Netuma thalassina 61.3b 0.22 0.35 Gunungkidul waters, Indonesia Present study

the total length,

the fork length.

Download Excel Table

The stock assessment of the N. thalassina fishery should consider a precautionary approach due to its status as a commercial commodity characterized by low fecundity and relatively slow growth rate, which increases its vulnerability to stock decline. This study presented fisheries stock assessment using multiple methods: LCC, YPR, and SPR analysis. The LCC method indicated variations in several natural mortality calculation approaches, resulting in exploitation rates (E) from 0.39 to 0.70, with a mean of 0.55 ± 0.11. The average exploitation rate of N. thalassina in Gunungkidul waters is classified as fully exploited (yellow zone), aligning with the optimal exploitation rate of 0.5 proposed by Gulland (1983). This status resembles the results of the YPR and SPR analysis, finding that the current fishing mortality lies between the LRP Fmax and the target reference point F0.1. Based on the length-based SPR, the current fishing mortality lies between the LRP of 20% SPR and the target reference point of 40% SPR.

Applying several approaches for assessing stock status is important for comprehending uncertainty and informing policy decisions by fisheries managers. Using the natural mortality approach from Then et al. (2015) resulted in a more optimistic assessment of the N. thalassina fishery in Gunungkidul waters, impacting a lower exploitation rate and a higher SPR. In contrast, the natural mortality method from Zhang & Megrey (2006) provided a more conservative estimate, leading to a higher exploitation rate and a low SPR. By understanding the biological characteristics of N. thalassina, decision-making should focus on achieving the target reference point. A SPR of 40% for N. thalassina is recommended due to its dominant small-size capture (63% below length at first maturity), low fecundity, and slow growth rate. The fishing mortality rate of N. thalassina currently surpasses 33% of the target reference point F40%. Therefore, a 33% reduction in fishing efforts is strongly advised to ensure the sustainability of the N. thalassina fishery in Gunungkidul waters. Fishing effort reduction can be achieved through the socialization of optimal hook-size fishing gear and government-supported hook-size modifications. Enhancing the SPR can improve the reproduction and recruitment of N. thalassina in natural environments, leading to the sustainability of the N. thalassina fishery.

Conclusion

The findings indicated that the majority of giant catfish (N. thalassina_ captured by longline in Gunungkidul were small-size fish, as evidenced by the length at first capture (Lc = 29 cm), which is below the length at first maturity (Lm50 = 37 cm). N. thalassina has a relatively fat body shape and is carnivorous, consuming various food items, including crabs, stomatopods, shrimps, and fish. Crabs constituted the primary diet, indicating from a high preponderance index of 60%. Fecundity was low, with a mean of 26 ± 4 eggs (± SD). The asymptotic length (L) and growth rate (K) were 61.3 cm and 0.22 years–1, respectively. The status of the N. thalassina fishery is classified as fully exploited. The fishing mortality of N. thalassina currently surpasses 33% of target reference point F40%. Therefore, a 33% reduction in effort is strongly recommended to ensure the sustainability of N. thalassina fishery in Gunungkidul waters. Effort reduction can be achieved through the socialization of optimal hook-size fishing gear and government-supported changes in hook-size. Raising the SPR is recommended to improve the reproduction and recruitment of N. thalassina in natural environments, thereby influencing the future viability of the N. thalassina fishery.

Competing interests

No potential conflict of interest relevant to this article was reported.

Funding sources

This study was supported by the Ministry of Funding, Indonesia through RIIM scheme (RIIM-25145314374).

Acknowledgements

We are thankful to Budi Purna as enumerators who helping in the data collection.

Availability of data and materials

Upon reasonable request, the datasets of this study can be available from the corresponding author.

Ethics approval and consent to participate

The samples are commercial fish that was obtained directly from the bottom longline fishers in the Gunungkidul waters, and the samples are used for biological assessment. We certify that this research followed all the applicable guidelines for the care and use of fish.

References

1.

Al-Husaini M, Al-Baz A, Dashti T, Rajab S, Husain H. Age, growth, and reproductive parameters of four species of sea catfish (Siluriformes: Ariidae) from Kuwaiti waters. Reg Stud Mar Sci. 2021; 46:101885

2.

Alagaraja K. Simple methods for estimation of parameters for assessing exploited fish stocks. Indian J Fish. 1984; 31:177-208.

3.

Alverson DL, Carney MJ. A graphic review of the growth and decay of population cohorts. J du Cons. 1975; 36:133-43

4.

Anggawangsa RF, Faizah R. Growth pattern and condition factor of giant catfish (Arius thalassinus) in the Cilacap water, Central Java. IOP Conf Ser Earth Environ Sci. 2020; 404:012024

5.

Clark WG. F35% revisited ten years later. N Am J Fish Manag. 2002; 22:251-7

6.

Farooq N, Qamar N, Rashid S, Panhwar SK. Length-weight relationship of eleven species of marine catfishes from the northern Arabian Sea coast of Pakistan. Chin J Oceanol Limnol. 2017; 35:1218-20

7.

Fauziyah , Purwiyanto AIS, Agustriani F, Putri WAE, Ermatita , Putra A. Assessing the stock status of giant catfish (Netuma thalassina) in Banyuasin coastal waters, South Sumatra of Indonesia. Aquac Aquar Conserv Legis. 2020; 13:1858-64.

8.

Gabriel WL, Mace PM. A review of biological reference points in the context of the precautionary approach.In: In: Proceedings of the 5th NMFS NSAW NOAA Tech Memo NMFS-F/SPO-40. 1999; , Key Largo, Floridap p. 34-45

9.

Goodyear CP. Spawning stock biomass per recruit in fisheries management: foundation and current use. Fish Aquat Sci. 1993; 120:67-81.

10.

Gulland JA. Fish stock assessment: a manual of basic methods. Hoboken, NJ: John Wiley & Sons. 1983.

11.

Hordyk AR, Ono K, Prince JD, Walters CJ. A simple length-structured model based on life history ratios and incorporating size-dependent selectivity: application to spawning potential ratios for data-poor stocks. Can J Fish Aquat Sci. 2016; 73:1787-99

12.

İşmen A. Maturity and fecundity of lizardfish (Saurida undosquamis Richardson, 1848) in İskenderun Bay Eastern Mediterranean. Turk J Zool. 2003; 27:231-8.

13.

Jensen AL. Origin of relation between K and Linf and synthesis of relations among life history parameters. Can J Fish Aquat Sci. 1997; 54:987-9

14.

King M. Fisheries biology, assessment and management. OxfordFishing News Books 1995.

15.

le Cren ED. The length-weight relationship and seasonal cycle in gonad weight and condition in the perch (Perca fluviatilis). J Anim Ecol. 1951; 20:201-19

16.

Marbun AY, Ghofar A, Solichin A. Morphometric analysis, species and catch distribution of manyung fish in Pekalongan domestic fishing port Pekalongan. Maquares. 2017; 6:470-9

17.

Menon NG. Age and growth of the marine catfish Tachysurus thalassinus (Rüppell) from Mandapam waters. Indian J Fish. 1986; 33:413-25.

18.

Mildenberger TK, Taylor MH, Wolff M. TropFishR: an R package for fisheries analysis with length-frequency data. Methods Ecol Evol. 2017; 8:1520-7

19.

Ministry of Marine Affairs and Fisheries Republic of Indonesia (MMAF). Statistical production of fisheries in Indonesia. Jakarta, Indonesia: MMAF. 2024.

20.

Natarajan AV, Jhingran AG. “Index of preponderance” a method of grading the food elements in the stomach analysis of fishes. Indian J Fish. 1961; 8:54-9.

21.

Nguyen KQ. Length-weight and length-length relationships of 16 marine fish species in Vietnam. Ocean Coast Res. 2024; 72:23052

22.

Parab MA. Maturity and spawning of the catfish Arius thalassinus (Ruppell) off North-West coast of India. Bull Fish Surv India. 1998; 26:32-41.

23.

Pauly D. Some simple methods for the assessment of tropical fish stocks. Rome: FAO. 1983.

24.

R Core Team. R: a language and environment for statistical computing [Internet]. R foundation for statistical computing. Vienna, Austria: 2008https://www.R-project.org/.

25.

Rahman MM, Samat AF. Reproductive cycle, sexual maturity and fecundity of Nemipterus furcosus (Valenciennes, 1830). Aquac Fish. 2021; 6:424-31

26.

Ricker WE. Computation and interpretation of biological statistics of fish populations. Ottawa, ONDepartment of the Environment, Fisheries and Marine Service 1975.

27.

Sarwanto C, Wiyono ES, Nurani TW, Haluan J. Study of marketing system of catch fisheries in Gunungkidul District, Yogyakarta Province. J Sosek KP. 2014; 9:207-17

28.

Silvestre GT, Garces LR. Population parameters and exploitation rate of demersal fishes in Brunei Darussalam (1989–1990). Fish Res. 2004; 69:73-90

29.

Sparre P, Venema SC. Introduction to tropical fish stock assessment. Rome: FAO. 1992.

30.

Sultana R, Alam MS, Nazrul KMS, Mamun A, Al-Mamun MA. Length-weight relationship and population dynamics study of the giant catfish (Arius thalassinus) in the Bay of Bengal coast of Bangladesh. Res Agric Livest Fish. 2019; 6:439-44

31.

Taunay PN, Wibowo E, Redjeki S. Composition study of stomach content and morphometry condition to understand the feeding habit of giant catfish (Arius thalassinus) in Semarang Waters. J Mar Res. 2013; 2:87-95.

32.

Then AY, Hoenig JM, Hall NG, Hewitt DA, Jardim E. Evaluating the predictive performance of empirical estimators of natural mortality rate using information on over 200 fish species. ICES J Mar Sci. 2015; 72:82-92

33.

Thompson WF, Bell FH. Effect of changes in intensity upon total yield and yield per unit of gear. Rep Int Fish Comm. 1934; 8:7-49.

34.

Tirtadanu , Kembaren DD, Pane ARP, Wagiyo K, Mardlijah S, Mahiswara , et al. Assessing risk status for some commercial fisheries in Gunungkidul waters, Indonesia: an ecosystem-based fisheries approach. Egypt J Aquat Res. 2024a; 50:141-7

35.

Tirtadanu , Priatna A, Pane ARP, Chodrijah U. Exploring the population distribution and stock density of demersal fishes in the Arafura Sea. In In: Proceedings of the Seminar Nasional Ikan XII 2024b; , Samarinda, Indonesiap p. 621-31

36.

Tirtadanu , Prihatiningsih , Yusuf HN, Zamroni A, Amri K, Chodrijah U. Assessing the stock status of areolate grouper (Epinephelus areolatus) in Java Sea, Indonesia. Reg Stud Mar Sci. 2023; 66:103116

37.

Tirtadanu , Suman A, Chodrijah U, Zhang CI. Multi-species assessment and management implications of lobster fisheries in Gunungkidul waters, Indonesia. Egypt J Aquat Res. 2022; 48:91-8

38.

Vahabnezhad A, Taghavi MS, Ghodrati SM. Seasonal variations in diet and feeding habits of Saurida tumbil (Bloch, 1795), Netuma thalassina (Ruppell, 1837) and Pomadasys kaakan (Cuvier, 1830) in the northern coasts of the Oman Sea. Iran J Fish Sci. 2021; 20:694-709.

39.

Widiyastuti H, Tirtadanu . Length-based stock assessment of the blue swimming crab Portunus pelagicus (Linnaeus, 1758) in the Northern Coast of Java, Indonesia. Indian J Fish. 2024; 71:15-21

40.

Xiang Y, Gubian S, Suomela B, Hoeng J. Generalized simulated annealing for global optimization: the GenSA package. R J. 2013; 5:12-28

41.

Zhang CI, Megrey BA. A revised Alverson and Carney model for estimating the instantaneous rate of natural mortality. Trans Am Fish Soc. 2006; 135:620-33